今日,美团LongCat团队正式发布并开源了图像生成模型LongCat-Image。该模型凭借高性能的模型架构设计、系统性的训练策略以及数据工程方面的优化,在参数规模仅为6B的情况下,成功在文生图与图像编辑这两大核心能力维度上,实现了对更大参数规模模型效果的逼近。
LongCat-Image 运用文生图和图像编辑同源的架构设计,同时结合渐进式学习策略,在仅6B的紧凑参数规模下,达成了指令遵循精准度、生图质量与文字渲染能力的高效协同提升。特别是在单图编辑的可控性以及文字生成的汉字覆盖度上具有独特优势。

亮点一:图像编辑高度可控
LongCat-Image 在图像编辑领域的多个重要基准测试中(如 GEdit-Bench、ImgEdit-Bench)均达到开源 SOTA 水平,实现性能突破的背后在于一套紧密协同的训练范式和数据策略。为有效继承文生图模型的知识和美感,同时避免文生图后训练阶段收窄的状态空间对编辑指令多样性的限制,基于文生图 Mid-training 阶段模型进行初始化,并采用指令编辑与文生图多任务联合学习机制,深化对复杂多样化指令的理解。此外通过预训练阶段的多源数据及指令改写策略,以及 SFT 阶段引入人工精标数据,最终实现了指令遵循精准度、泛化性和编辑前后视觉一致性的共同提升。

亮点二:中文文字生成精准覆盖
针对中文文本渲染这一行业痛点,LongCat-Image 通过课程学习策略来提升字符覆盖度和渲染精准度:预训练阶段基于千万量级合成数据学习字形,覆盖通用规范汉字表的 8105 个汉字;SFT 阶段引入真实世界文本图像数据,提升在字体、排版布局上的泛化能力;RL 阶段融入 OCR 与美学双奖励模型,进一步提升文本准确性与背景融合自然度。此外通过对 prompt 中指定渲染的文本采用字符级编码,大幅降低模型记忆负担,实现文字生成学习效率的跨越式提升。通过该项能力加持,有效支持海报设计、商业广告作图场景中复杂笔画结构汉字的渲染,以及古诗词插图、对联、门店招牌、文字 Logo 等设计场景的生僻字渲染。

此外,LongCat-Image 通过系统性的数据筛选与对抗训练框架,实现了出图纹理细节和真实感的提升。预训练和中期训练阶段严格过滤 AIGC 数据,避免陷入“塑料感”纹理的局部最优;在 SFT 阶段,所有数据均经过人工精筛来对齐大众审美;在 RL 阶段,创新性地引入 AIGC 内容检测器作为奖励模型,利用其对抗信号逆向引导模型学习真实世界的物理纹理、光影和质感。

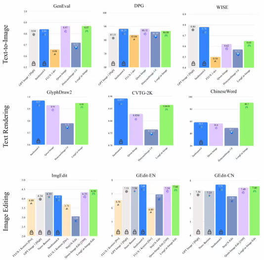
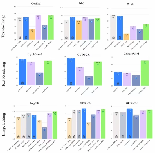
客观基准评测

全面的客观基准测试充分验证了 LongCat-Image 的核心竞争力:在图像编辑任务中,ImgEdit-Bench(4.50 分)、 GEdit-Bench 中英文得分(7.60/7.64 分)均达到开源 SOTA 水平,且逼近头部闭源模型水平;在文字渲染方面,ChineseWord 评测以 90.7 分的成绩大幅领先所有参评模型,实现常用字、生僻字的全量精准覆盖;文生图任务上,GenEval 0.87 分、DPG-Bench 86.8 分的表现,使其在生图基础能力上相比头部开源与闭源模型依然具备强竞争力。
综合主观评测
在衡量模型的通用能力时,我们始终将用户的真实体验放在首位。为此,我们采用业界公认的主观评价方法,对 LongCat-Image 在“文生图”与“图像编辑”两大核心场景下的表现进行了系统评估。
在文生图方面采用大规模的人工主观评分(MOS)方法,核心覆盖文本-图像对齐、视觉合理度、视觉真实度、美学质量 4 个维度,LongCat-Image 的真实度相比主流开闭源模型表现出色,同时在文本-图像对齐与合理度上达到开源 SOTA 水平。在图像编辑方面采用严格的并列对比评估(Side-by-Side, SBS)方法,聚焦于综合编辑质量、视觉一致性这两个用户体验的维度,评测结果表明,LongCat-Image 虽然与 Nano Banana、Seedream 4.0 等商业模型存在一定差距,但显著超越了其他开源方案。

为了打造一个更透明、开放且协同的开源生态,我们已将文生图的多阶段模型(包含Mid-training与Post-training环节)以及图像编辑模型进行全面开源,致力于为前沿研究到商业落地的全链路提供无缝支撑。我们始终相信,技术的真正突破离不开社区的集体智慧。在此诚挚邀请各位开发者亲身试用模型、参与共同建设,让我们依托这一高效能模型,携手探索视觉生成领域的无限可能。
雷蛇猎魂光蛛Signature Edition键盘全球限量1337件,定价3999元,今日正式开启售卖
仁王3各武器击杀数称号对应刷取位置分享
全球最轻薄的折叠屏产品荣耀Magic V6已发布,京东方为其独家提供屏幕
玄戒O2稳了!台积电3nm工艺加持 小米最强Soc即将登场
三星Galaxy S26系列作为全球首款2nm旗舰,销量火爆突破150万台
不寐之境:女巫与魔咒初始关卡通关指引
《Wallpaper Engine:壁纸引擎》超值价来袭:仅售18.32元,优惠截至3月10日
搭载M4芯片的全新iPad Air首测Geekbench,单核性能提升幅度明显
幕启星河app
2026-03-06 09:20:07更新
擎企
2026-03-05 17:36:07更新
像素网球冠军重制版
2026-03-05 17:36:07更新
检查身体捕捉学院冷狐版
2026-03-05 17:36:06更新
破晓战歌
2026-03-05 17:35:07更新
锁死的房间
2026-03-05 17:35:07更新
保质期提醒
2026-03-05 17:34:09更新
thefear2恐怖游戏
2026-03-05 17:34:09更新
dayday日记
2026-03-05 17:33:11更新
钓鱼发烧友新版
2026-03-05 17:33:10更新